Unisil Ltd.

Innovative and Implementation Company

Silicon compounds - the latest production technologies

SiCube

Si Cube is a new product brand developed by Unisil Ltd., which is a chemical company well-recognized for the synthesis of organosilanes. Si Cube offers the synthesis of basic and functionalized silsesquioxanes with variety of functionalities adapted for the customers requirements.

Due to the huge number of combinations, both in terms of the nature of substituents and silsesquioxane substrates, we also offer a custom synthesis of silsesquioxane products.

Properties of silsesquioxanes

Silsesquioxanes belong to a large and diverse class of cage organosilicon hybridcompounds of the general formula [RSiO1.5]n (where n = 6, 8, 10, 12). The most studied and widely usedgroup is that of cubic octasubstituted silsesquioxanes (n = 8). Recent years saw also theemergence of a new subclass of silsesquioxanes, namely double-decker silsesquioxanes (Scheme 1).

Scheme 1.

The overwhelming majority of silsesquioxane structures is prepared by condensation of the respective chloro- or alkoxysilanes, for example, fully condensed cubic silsesquixanes can be obtained via hydrolysis/condensation of trichloro- or trialkoxysilanes or by corner-capping reactions of silsesquioxane trisilanols (Scheme 2).

Scheme 2.

Silsesquioxane silanols or silanolates may form incompletely condensed cages as well as closed structures with the reactive silanol grups number ranging from one to eight (Scheme 3).

Scheme 3.

Silsesquioxanes are hybrid compounds that combine features of organic and inorganic systems (Scheme 4). The inorganic fragment is a rigid, chemically robust Si-O-Si core, which is the backbone of the entire structure, while the organic fragments are usually organic substituents (alkyl, aryl, alkenyl groups, etc.) attached directly to silicon atoms located in the core. These substituents may be also reactive groups (e.g., Cl, OH) that allow further direct functionalization.

Scheme 4.

The presence of Si-O-Si groups in the silsesquioxane skeleton ensures high thermal and chemical stability of the entire system, while organic substituents affect such parameters as solubility, density, physical state and compatibility in polymer and composite systems. In turn, the presence of reactive substituents allows for the modification of silsesquioxanes by the formation of chemical bonds with new organic and organometallic functions, or by grafting with polymeric materials. The whole silsesquioxane cage forms a precisely defined, three-dimensional structure with nanometric dimensions.

The precisely defined size of silsesquioxanes, as well as the ability to create covalent bonds and non-covalent interactions with polymers make them highly effective nanofillers. Silsesquioxanes affect many properties of polymer and composite materials, among others extending the working temperature of the polymer, increasing resistance to oxidation, increasing fire resistance, raising the temperature of decomposition and vitrification and lowering the viscosity. This is related not only to their nanometric dimensions, but also to the presence of organofunctional substituents that are connected to the silicon-oxygen skeleton.

Applications of functionalized silsesquioxanes

Unisil Products: Silsesquioxanes

Double-decker

Catalog number

SC-DDSQ-001

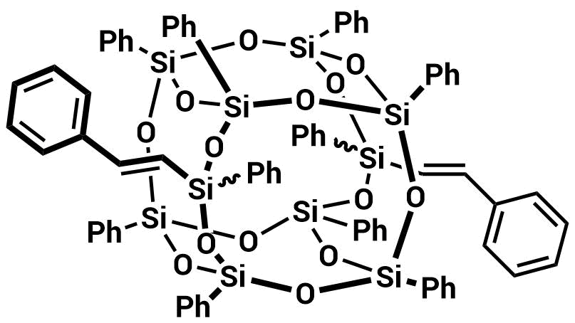
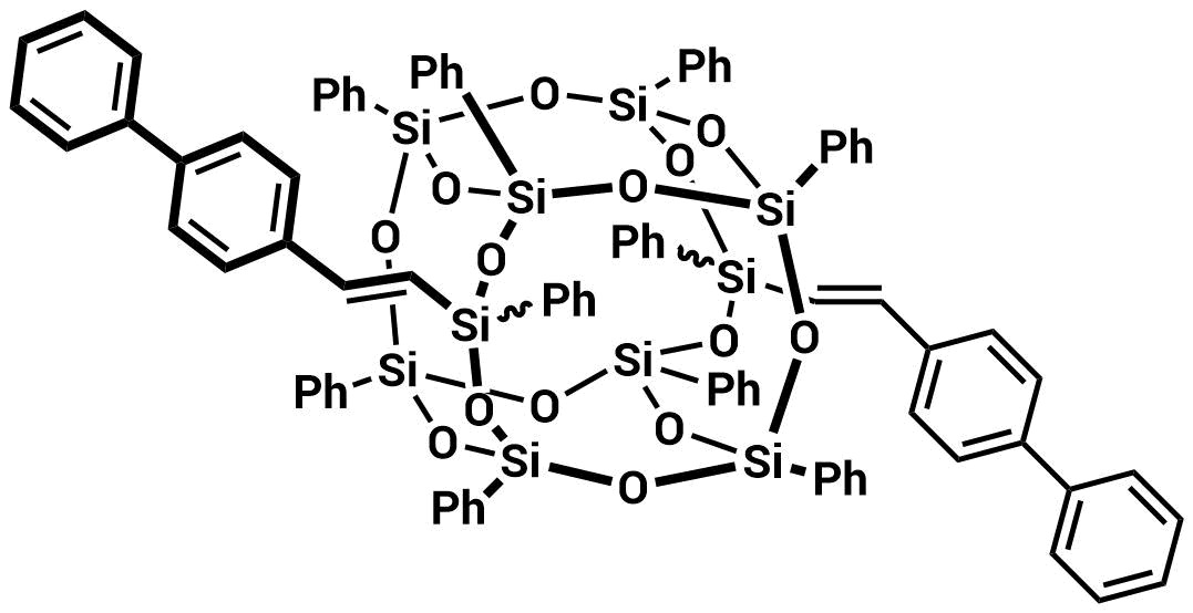
9,19-Penyl[(E)-styryl]octa(phenyl)decasilsesquioxane

SC-DDSQ-002

9,19-Phenyl[2-{4-(trifluoromethyl)phenyl}ethenyl]octa(phenyl)decasilsesquioxane

SC-DDSQ-003

9,19-Phenyl[2-(4-chlorophenyl)ethenyl]octa(phenyl)decasilsesquioxane

SC-DDSQ-004

9,19-Phenyl[2-(4-bromophenyl)ethenyl]octa(phenyl)decasilsesquioxane

SC-DDSQ-005

9,19-Phenyl[2-(4-methoxyphenyl)ethenyl]octa(phenyl)decasilsesquioxane

SC-DDSQ-006

9,19-Phenyl[2-((1,1’-biphenyl))ethenyl]octa(phenyl)decasilsesquioxane

SC-DDSQ-007

9,19-Phenyl[2-(1,2,3,4,5-pentafluorophenyl)ethenyl]octa(phenyl)decasilsesquioxane

SC-DDSQ-008

9,19-(4-Methoxyphenyl)[(E)-styryl]octa(phenyl)decasilsesquioxane

SC-DDSQ-009

9,19-(4-Methoxyphenyl)[2-(4-chlorophenyl)ethenyl]octa(phenyl)decasilsesquioxane

SC-DDSQ-010

9,19-(4-Methoxyphenyl)[2-(4-bromophenyl)ethenyl]octa(phenyl)decasilsesquioxane

SC-DDSQ-011

9,19-(4-Methoxyphenyl)[2-{4-(trifluoromethyl)phenyl}ethenyl]octa(phenyl)decasilsesquioxane

SC-DDSQ-012

9,19-(4-Methoxyphenyl)[2-(4-methoxyphenyl)ethenyl]octa(phenyl)decasilsesquioxane

SC-DDSQ-013

9,19-(4-Methoxyphenyl)[2-(1,1’-biphenyl)ethenyl]octa(phenyl)decasilsesquioxane

SC-DDSQ-014

9,19-(4-Methoxyphenyl){2-[4-(1,2,3,4,5-pentafluorophenyl)ohenyl]ethenyl}octa(phenyl)decasilsesquioxane

Incompletely Condensed

Catalog number

SC-TRISILANOL-001

1,3,5,7,9,11,14-heptaisobutyl-2,4,6,8,10,12,13,15,16-nonaoxa-1,3,5,7,9,11,14-heptasilatricyclo[7.3.3.15,11]hexadecane-3,7,14-triol

Monofunctional

Catalog number

SC-MONO-001

Mono(vinyl)hepta(isobutyl)silsesquioxane

SC-MONO-002

Mono(styryl)hepta(isobutyl)octasilsesquioxane

SC-MONO-003

Mono(4-methylstyryl)hepta(isobutyl)octasilsesquioxane

SC-MONO-004

Mono(4-trifluoromethylostyryl)hepta(isobutyl)octasilsesquioxane

SC-MONO-005

Mono(4-chlorostyryl)hepta(isobutyl)octasilsesquioxane

SC-MONO-006

Mono(4-bromostyryl)hepta(isobutyl)octasilsesquioxane

SC-MONO-007

Mono(4-methoxystyryl)hepta(isobutyl)octasilsesquioxane

SC-MONO-008

Mono(4-phenylstyryl)hepta(isobutyl)octasilsesquioxane

SC-MONO-009

Mono(4-(pentafluorophenyl)styryl)hepta(isobutyl)octasilsesquioxane

SC-MONO-010

Mono(4-(1-naphtyl)styryl)hepta(isobutyl)octasilsesquioxane

SC-MONO-011

Mono(4-(9-anthracenyl)styryl)hepta(isobutyl)octasilsesquioxane

SC-MONO-012

Mono(4-(tiophen-2-yl)styryl)hepta(isobutyl)octasilsesquioxane

SC-MONO-013

Mono(2-(carbazol-9-yl)ethenyl)hepta(isobutyl)octasilsesquioxane

SC-MONO-014

Mono(2-n-butoxyethenyl)hepta(isobutyl)octasilsesquioxane

SC-MONO-015

Mono(vinyldimethylsiloxy)hepta(isobutyl)octasilsesquioxane

SC-MONO-016

Mono(dimethylsiloxy)hepta(isobutyl)octasilsesquioxane

SC-MONO-017

Mono(2-(oxabicyclo[4.1.0]heptyl)ethyl(dimethylsiloxy))hepta(isobutyl)octasilsesquioxane

SC-MONO-018

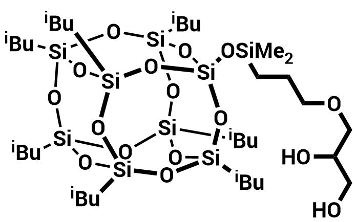
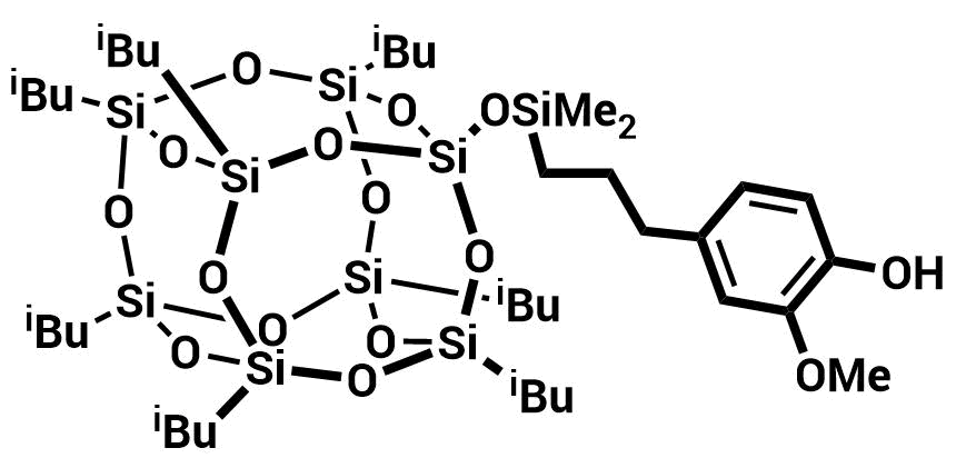
Mono(2-methoxy-4-(3-dimethylsiloxy)propylhydroxybenzene)hepta(isobutyl)octasilsesquioxane

SC-MONO-019

Mono((3-hydroxypropyl)dimethylsiloxy)hepta(isobutyl)octasilsesquioxane

SC-MONO-020

Mono((6,7-dihydroxy-4-oxaheptyl)(dimethylsiloxy))hepta(isobutyl)octasilsesquioxane

SC-MONO-021

Mono((11-hydroxyundecyl)(dimethylsiloxy))hepta(isobutyl)octasilsesquioxane

SC-MONO-022

Mono((3-glycidylopropoxy)(dimethylsiloxy))hepta(isobutyl)octasilsesquioxane

SC-MONO-023

Mono(3-chloropropyldimethylsiloxy)hepta(isobutyl)octasilsesquioxane

SC-MONO-024

Mono(3-chloropropyl)hepta(isobutyl)octasilsesquioxane

SC-MONO-025

Mono(3-aminopropyl)hepta(isobutyl)octasilsesquioxane

SC-MONO-026

Mono(3-tiocyjanianopropylo)hepta(izobutylo)oktasilseskwioksan

SC-MONO-027

Mono(3-acetoksypropylo)hepta(izobutylo)oktasilseskwioksan

SC-MONO-028

Mono(3-metakryloksypropylo)hepta(izobutylo)oktasilseskwioksan

SC-MONO-029

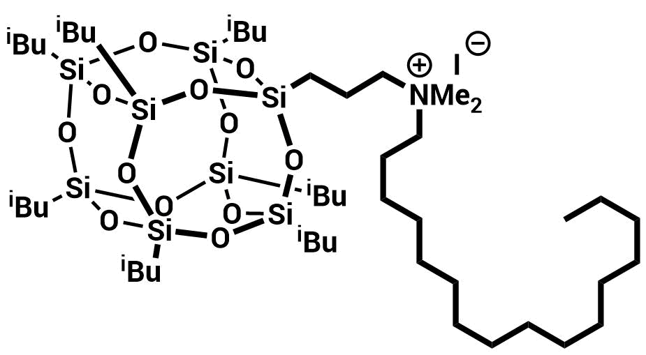
Jodek hepta(izobutylo)oktasilseskwioksano[3-(dimetylo(2-hydroksyetylo)propyloamoniowy]

SC-MONO-030

Jodek hepta(izobutylo)oktasilseskwioksano[3-(dimetyloheksadecylo)propyloamoniowy]

octafunctional

Catalog number

SC-OKTA-001

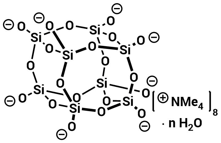
Oktasilseskwioksanooktasilanolan tetrametyloamoniowy

SC-OKTA-002

Oktakis(dimetylowodorosiloksy)oktasilseskwioksan

SC-OKTA-003

Oktakis(heksylodimetylosiloksy)oktasilseskwioksan

SC-OKTA-004

Oktakis(dimetylooktadecylosiloksy)oktasilseskwioksan

SC-OKTA-005

Oktakis[dimetylo(2-metylocykloheks-3-en-1-ylo)propylosiloksy]oktasilseskwioksan

SC-OKTA-006

Oktakis[dimetylo(2-norborn-2-en-ylo)etylosiloksy]oktasilseskwioksan

SC-OKTA-007

Oktakis(N,N-dimetylo-3-propylodimetylosiloksy)oktasilseskwioksan

SC-OKTA-008

Oktakis[(3-glicydoksypropylo)dimetylosiloksy]oktasilseskwioksan

SC-OKTA-009

Oktakis[(2-(3,4-epoksycykloheksyl-1-o)etylo)dimetylosiloksy]oktasilseskwioksan

SC-OKTA-010

Oktakis[(3-(tiiran-2-yloksy)propylo)dimetylosiloksy]oktasilseskwioksan

SC-OKTA-011

Oktakis(3-acetoksypropylodimetylosiloksy)oktasilseskwioksan

SC-OKTA-012

Oktakis{2-[(trietoksysililo)etylo]dimetylosiloksy}oktasilseskwioksan

SC-OKTA-013

Oktakis {[2-(3-(2-izocyjanianopropan-2-ylo)-5-metylofenylopropylo]dimetylosiloksy}oktasilseskwioksan

SC-OKTA-014

Oktakis[3-(1,1,2,2,3,3,4,4-oktafluoropentyloksy)propylodimetylosiloksy]oktasilseskwioksan

SC-OKTA-015

Oktapochodne zawierające terminalne ugrupowania 2-hydroksyetyloeterowe

SC-OKTA-016

Oktapochodne zawierające terminalne grupy hydroksyalkilowe

SC-OKTA-017

Oktakis[(E)-styrylo]oktasilseskwioksan

SC-OKTA-018

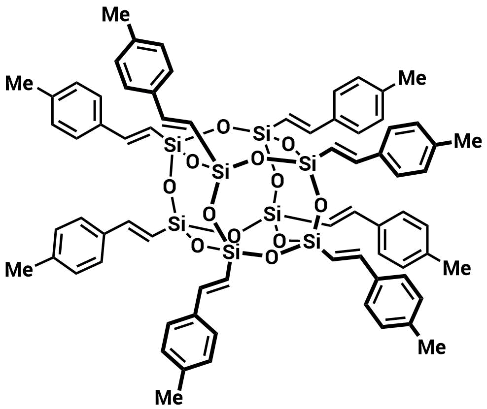
Oktakis[2-(4-metylofenylo)etenylo]oktasilseskwioksan

SC-OKTA-019

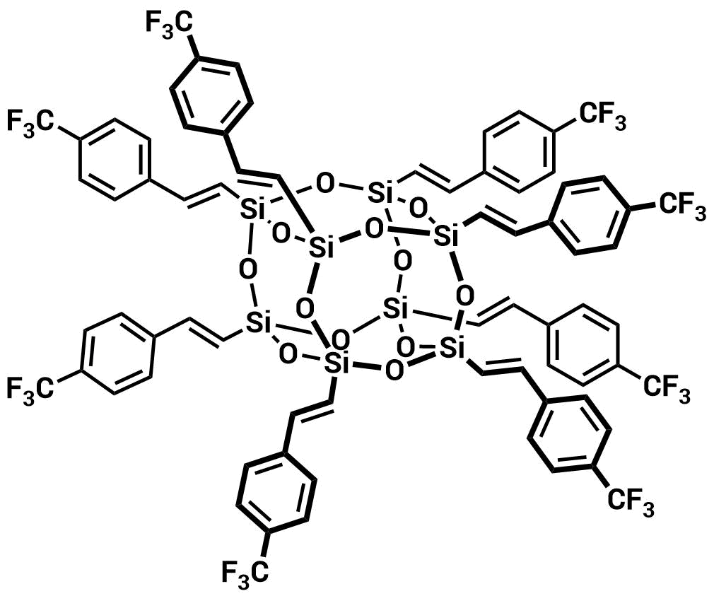
Oktakis[2-{4-(trifluorometylo)fenylo}etenylo)oktasilseskwioksan

SC-OKTA-020

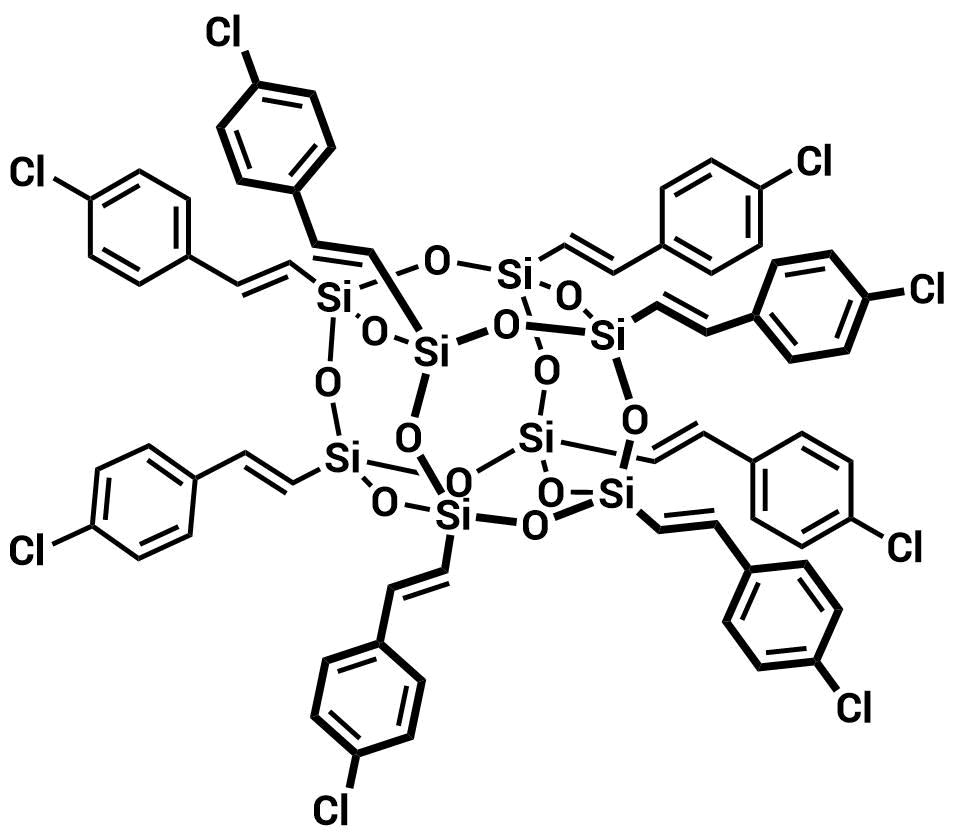
Oktakis[2-(4-chlorofenylo)etenylo]oktasilseskwioksan

SC-OKTA-021

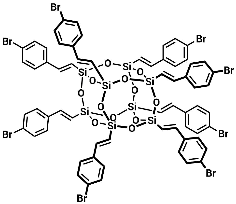
Oktakis[2-(4-bromofenylo)etenylo]oktasilseskwioksan

SC-OKTA-022

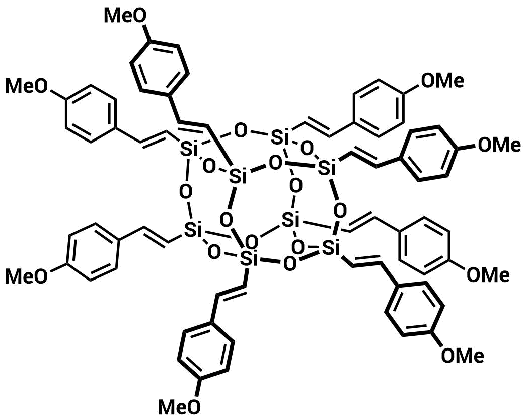
Oktakis[2-(4-metoksyfenylo)etenylo]oktasilseskwioksan

SC-OKTA-023

Oktakis[4-(1,1’-bifenylo)etenylo]oktasilseskwioksan

SC-OKTA-024

Oktakis{2-[4-(1,2,3,4,5-pentafluorofenylo)fenylo]etenylo}oktasilseskwioksan

Unisil Ltd.
Kwiatkowskiego 8, 33-100 Tarnów
Phone: +48 14 637 46 75, Fax: +48 14 637 30 39, e-mail: sekretariart@unisil.pl


×



×
x

Private Policy