Unisil Ltd.

Innovative and Implementation Company

Silicon compounds - the latest production technologies

Catalog number: SC-MONO-018

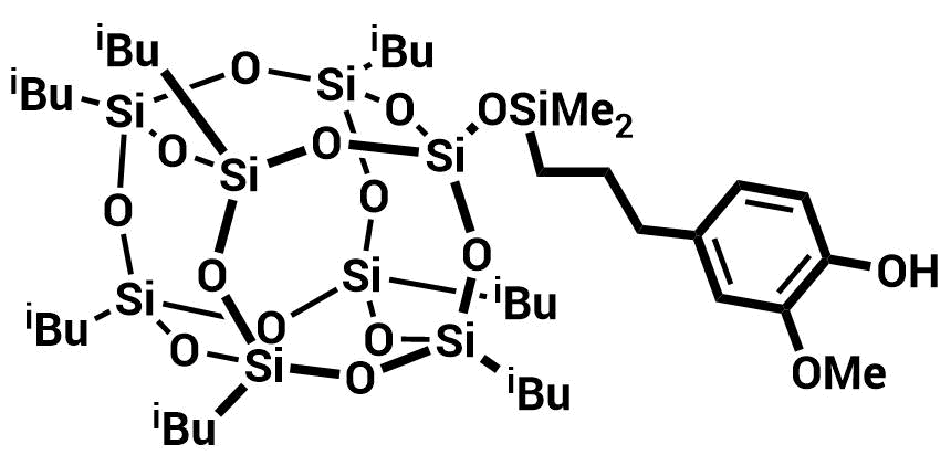
Mono(2-methoxy-4-(3-dimethylsiloxy)propylhydroxybenzene)hepta(isobutyl)octasilsesquioxane



Molecular Formula: C40H82O15Si9

Molecular Weight [g/mol]: 1055,85

Color, Apperance: white powder

Solubility: hexane, THF, diethyl ether, toluene, chloroform

Inosuble in: methanol, acetonitrile

Applications: Used in the synthesis and modification of polymethacrylates. It improves the properties of the final materials, i.e. strength, hardness, thermal resistance, resistance to moisture. Used as a component of UV-curing dental fillings.

References:

M. Walczak, A. Franczyk, B. Marciniec, Chem. Asian J., 2018, 13, 181


Unisil Ltd.
Kwiatkowskiego 8, 33-100 Tarnów
Phone: +48 14 637 46 75, Fax: +48 14 637 30 39, e-mail: sekretariart@unisil.pl


×



×