Unisil Ltd.

Innovative and Implementation Company

Silicon compounds - the latest production technologies

Catalog number: SC-OKTA-019

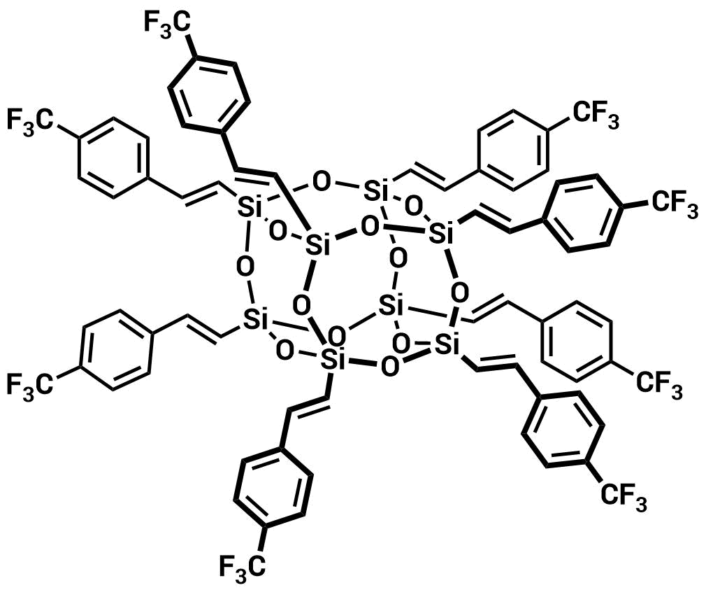
Oktakis[2-{4-(trifluorometylo)fenylo}etenylo)oktasilseskwioksan



Molecular Formula: C72H48O24Si8

Molecular Weight [g/mol]: 1785,81

Color, Apperance: lekko żółty proszek

Solubility: THF, eter dietylowy, toluen, chloroform, chlorek metylenu

Inosuble in: H2O, metanol, aceton

Applications:

Materiały zawierające układ sprzężonych wiązań wielokrotnych wykorzystywane do produkcji diod elektroluminescencyjnych, w optoelektronice oraz fotowoltaice.


References: [1] Y. Itami, B. Marciniec, M. Kubicki, Chem. Eur. J., 2004, 10, 1239; [2] P. Żak, B. Marciniec, M. Majrzchak, C. Pietraszuk, J. Organomet. Chem., 2011, 696, 887; [3] P. Żak, C. Pietraszuk, Beilstein J. Org. Chem., 2019, 15, 310; [4] B. Marciniec, C. Pietraszuk, M. Majchrzak, P. Żak, 2016, PL 221530 (B1)

Unisil Ltd.
Kwiatkowskiego 8, 33-100 Tarnów
Phone: +48 14 637 46 75, Fax: +48 14 637 30 39, e-mail: sekretariart@unisil.pl


×



×