Unisil Ltd.

Innovative and Implementation Company

Silicon compounds - the latest production technologies

Catalog number: SC-MONO-020

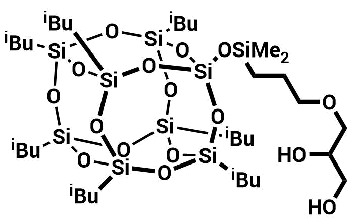
Mono((6,7-dihydroxy-4-oxaheptyl)(dimethylsiloxy))hepta(isobutyl)octasilsesquioxane



Molecular Formula: C36H82O16Si9

Molecular Weight [g/mol]: 1023,80

Color, Apperance: white powder

Solubility: hexane, THF, diethyl ether, toluene, chloroform

Inosuble in: methanol, acetonitrile

Applications: Monomer used in the synthesis of polymers by polycondensation. It improves the properties of polymers such as strength, hardness and thermal stability.

References:

M. Walczak, A. Franczyk, B. Marciniec, Chem. Asian J., 2018, 13, 181



Unisil Ltd.
Kwiatkowskiego 8, 33-100 Tarnów
Phone: +48 14 637 46 75, Fax: +48 14 637 30 39, e-mail: sekretariart@unisil.pl


×



×