Innovative and Implementation Company

THF, eter dietylowy, toluen, chloroform, chlorek metylenu
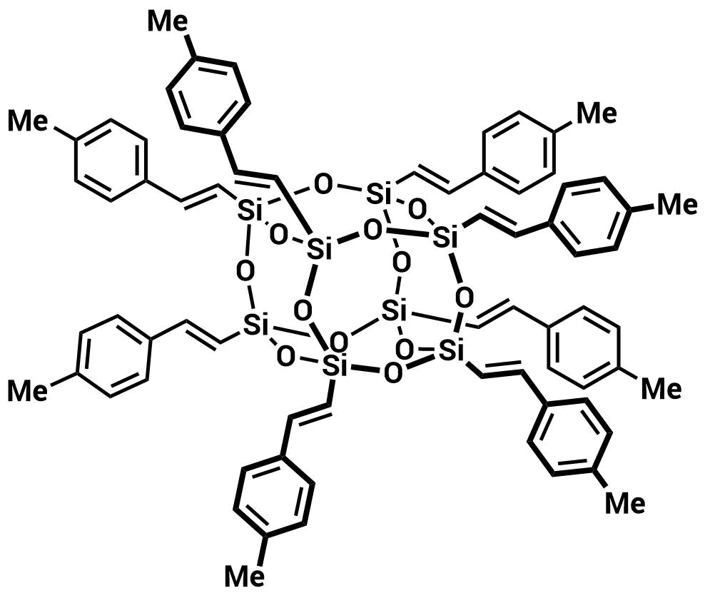
Materiały zawierające układ sprzężonych wiązań wielokrotnych wykorzystywane do produkcji diod elektroluminescencyjnych, w optoelektronice oraz fotowoltaice.
[1] Y. Itami, B. Marciniec, M. Kubicki, Chem. Eur. J., 2004, 10, 1239; [2] P. Żak, B. Marciniec, M. Majrzchak, C. Pietraszuk, J. Organomet. Chem., 2011, 696, 887; [3] P. Żak, C. Pietraszuk, Beilstein J. Org. Chem., 2019, 15, 310; [4] B. Marciniec, C. Pietraszuk, M. Majchrzak, P. Żak, 2016, PL 221530 (B1)