Innovative and Implementation Company

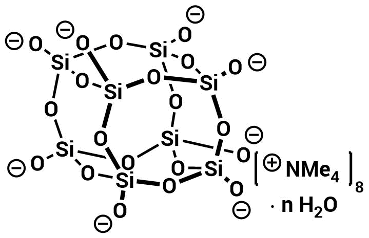
Bez uwzględnienia cząsteczek wody: 1137,86
Hydrat zawiera najczęściej ok. 60 cząsteczek H2O.
Prekursor do syntezy tzw. sferokrzemianów, tj. silseskwioksanów o ogólnym wzorze (R3SiO)8[Si8O20].
[1] M. G. Voronkov, V. I. Lavrent’yev, Top. Curr. Chem., 1982, 102, 199; [2] R. H. Baney, M. Itoh, A. Sakakibara, T. Suzuki, Chem. Rev., 1995, 95, 1409; [3] N. L. D. Filho, H. A. de Aquino, G. Pires, L. Caetano, J. Braz. Chem. Soc., 2006, 17, 533; [4] J. D. Lichtenhan, N. Q. Vu, J. A. Carter, J. W. Gilman, F. J. Feher, Macromolecules, 1993, 26, 214.