Unisil Sp. z o.o.

Przedsiębiorstwo Innowacyjno-Wdrożeniowe

Związki krzemu - najnowsze technologie produkcji

Nr katalogowy: SC-DDSQ-006

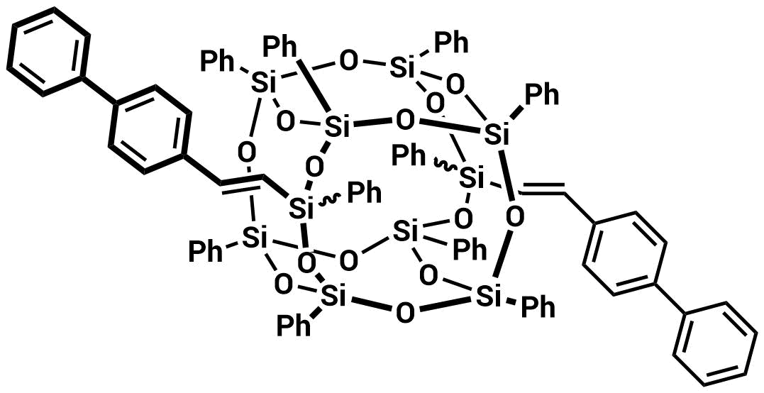
9,19-Fenylo[4-(1,1’-bifenylo)etenylo]okta(fenylo)dekasilseskwioksan



Wzór sumaryczny: C88H72O14Si10

Ciężar cząsteczkowy [g/mol]: 1634,38

Kolor, wygląd: biały proszek

Rozpuszczalność: THF, eter dietylowy, toluen, chloroform, chlorek metylenu

Nierozpuszczalny w: H2O, metanol, aceton, heksan

Zastosowanie:

Materiały zawierające układ sprzężonych wiązań wielokrotnych wykorzystywane do produkcji diod elektroluminescencyjnych, w optoelektronice oraz fotowoltaice.


Literatura:

[1] P. Żak, B. Dudziec, M.Kubicki, B. Marciniec, Chem. Eur. J., 2014, 20, 9387; [2] B. Dudziec, B. Marciniec, Curr. Org. Chem., 2018, 21, 2794; [3] P. Żak, B. Dudziec, B. Marciniec, New functionalized unsaturated double-decker derivatives of divinylsilsesquioxanes, 2015, US 9,150,596 (B2)


Unisil Sp. z o.o.
ul. Kwiatkowskiego 8, 33-100 Tarnów
Tel: +48 14 637 46 75, Fax: +48 14 637 30 39, e-mail: sekretariat@unisil.pl


×



×
x

Polityka Prywatności