Przedsiębiorstwo Innowacyjno-Wdrożeniowe

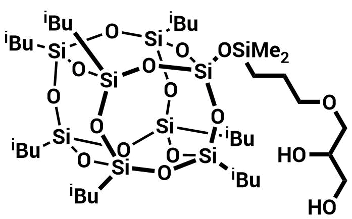
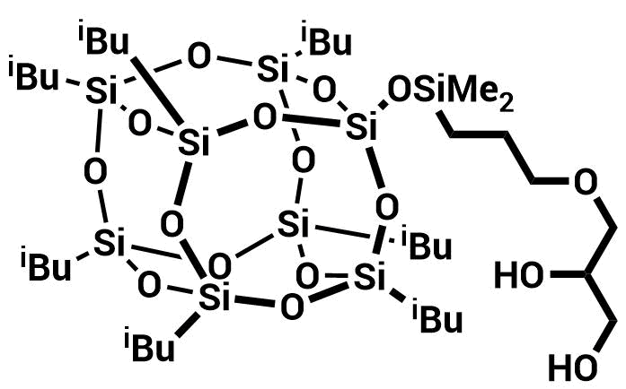
Monomer stosowany w syntezie polimerów na drodze polikondensacji. Wpływa na poprawę właściwości uzyskanych polimerówtakich jak wytrzymałość, twardość, stabilność termiczna.
M. Walczak, A. Franczyk, B. Marciniec, Chem. Asian J., 2018, 13, 181