Przedsiębiorstwo Innowacyjno-Wdrożeniowe

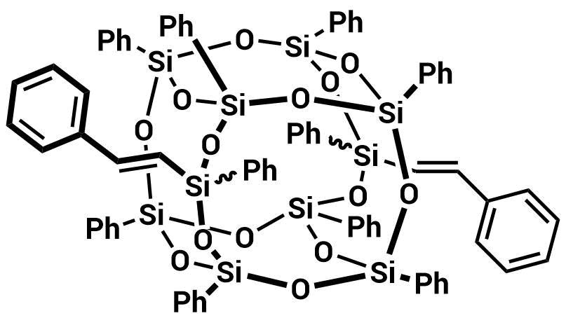
Materiały zawierające układ sprzężonych wiązań wielokrotnych wykorzystywane do produkcji diod elektroluminescencyjnych, w optoelektronice oraz fotowoltaice.
[1] P. Żak, B. Dudziec, M.Kubicki, B. Marciniec, Chem. Eur. J., 2014, 20, 9387; [2] B. Dudziec, B. Marciniec, Curr. Org. Chem., 2018, 21, 2794; [3] P. Żak, B. Dudziec, B. Marciniec, New functionalized unsaturated double-decker derivatives of divinylsilsesquioxanes, US 9,150,596 (B2), 2015