Unisil Sp. z o.o.

Przedsiębiorstwo Innowacyjno-Wdrożeniowe

Związki krzemu - najnowsze technologie produkcji

Nr katalogowy: SC-MONO-030

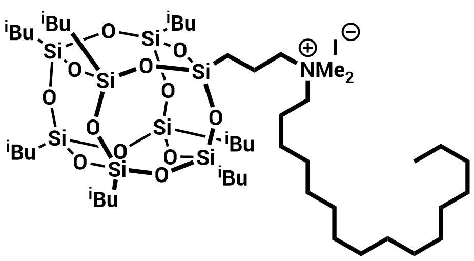
Jodek hepta(izobutylo)oktasilseskwioksano[3-(dimetyloheksadecylo)propyloamoniowy]



Wzór sumaryczny: C49H108INO12Si8

Ciężar cząsteczkowy [g/mol]: 1254,97

Kolor, wygląd: biały lub lekko żółty proszek

Rozpuszczalność: chloroform, chlorek metylenu, heksan, toluen, benzen, cykloheksan, THF, ksylen

Nierozpuszczalny w: biały lub lekko żółty proszek

Unisil Sp. z o.o.
ul. Kwiatkowskiego 8, 33-100 Tarnów
Tel: +48 14 637 46 75, Fax: +48 14 637 30 39, e-mail: sekretariat@unisil.pl


×



×
x

Polityka Prywatności